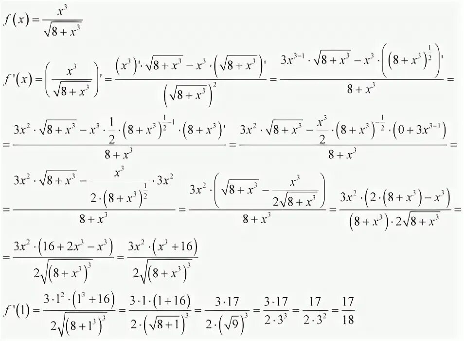
Вычислите производную f x 9