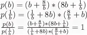
Вычислите p a b если