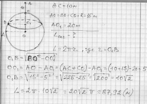
Вычислите объем шара радиусом r