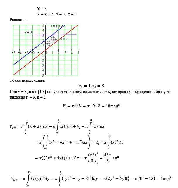
Вычислите объем фигуры ограниченной линиями