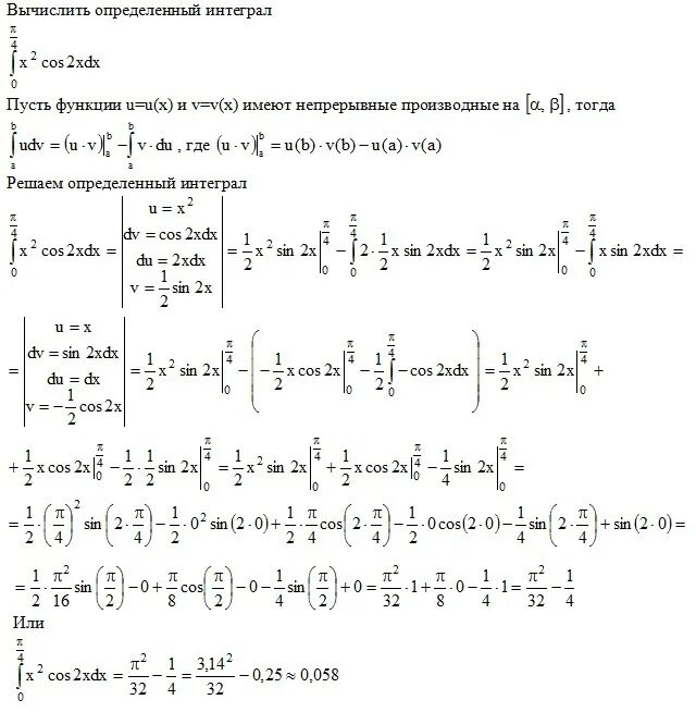
Вычислите интегралы 4 1