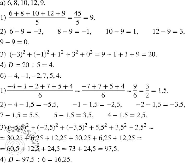
Вычислите дисперсию ряда чисел 6 8