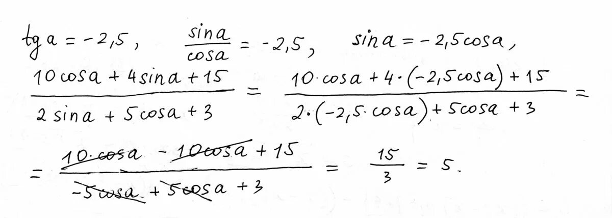
Вычислите cosa 3 5