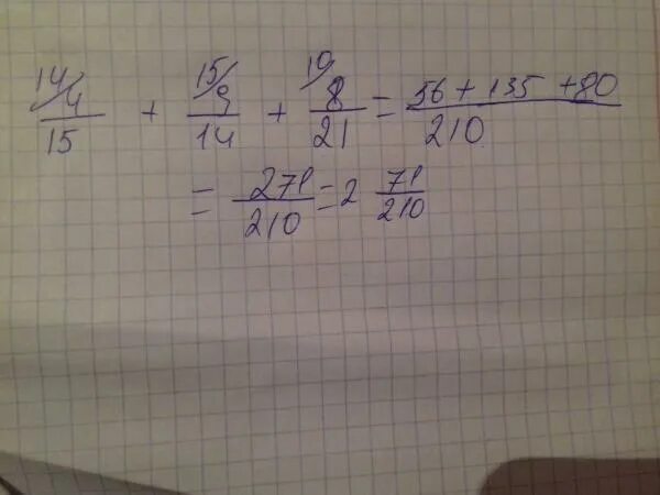
Вычислите 5 15 плюс 3 15