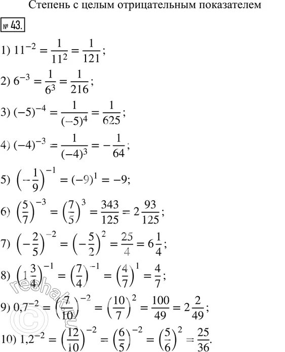
Вычислите 43 4 2