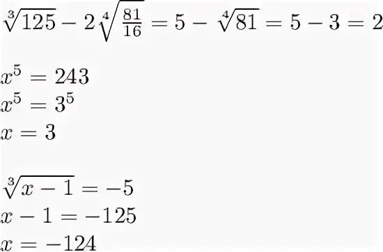
Вычислите 4 16 81