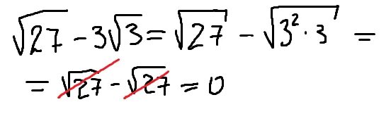
Вычислите 3 корень 27