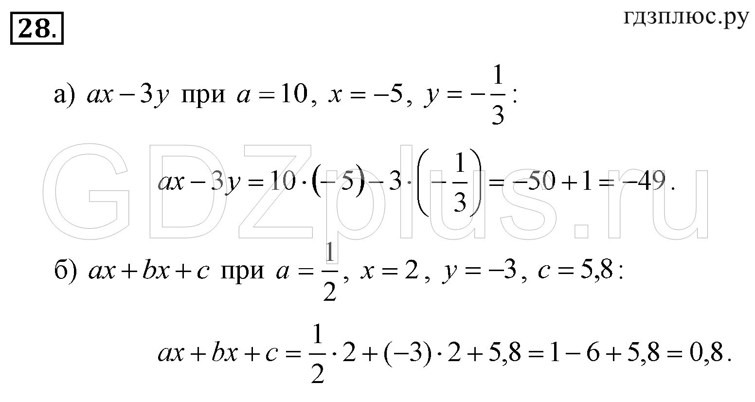
Вычислите 28 32