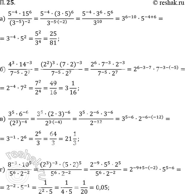
Вычислите 25 5 5 5 7