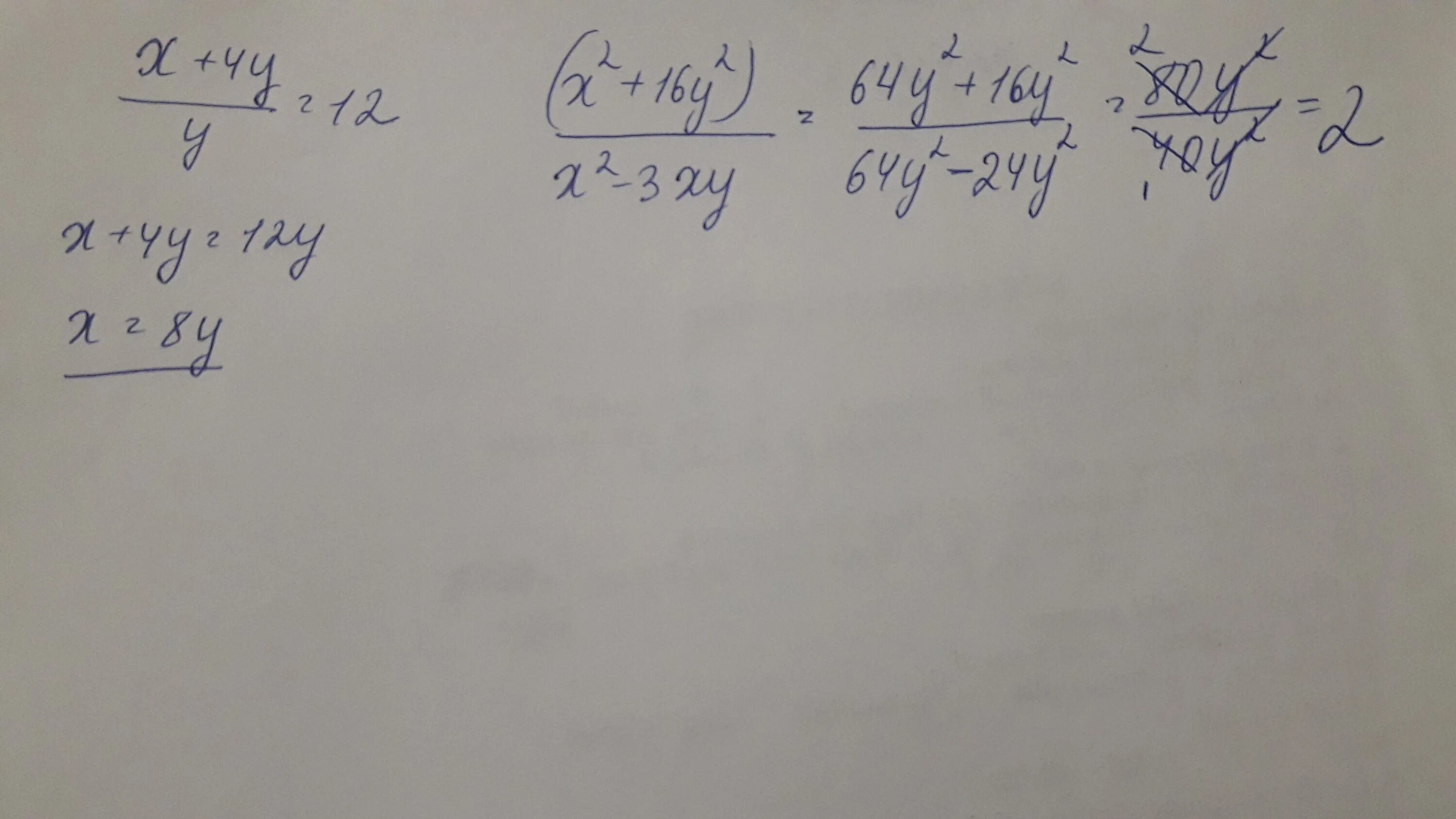
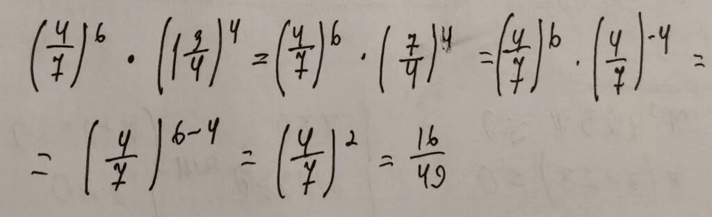
Вычислите 12 5 23 9