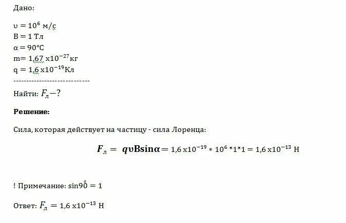
Вычислите 10 в 6 степени