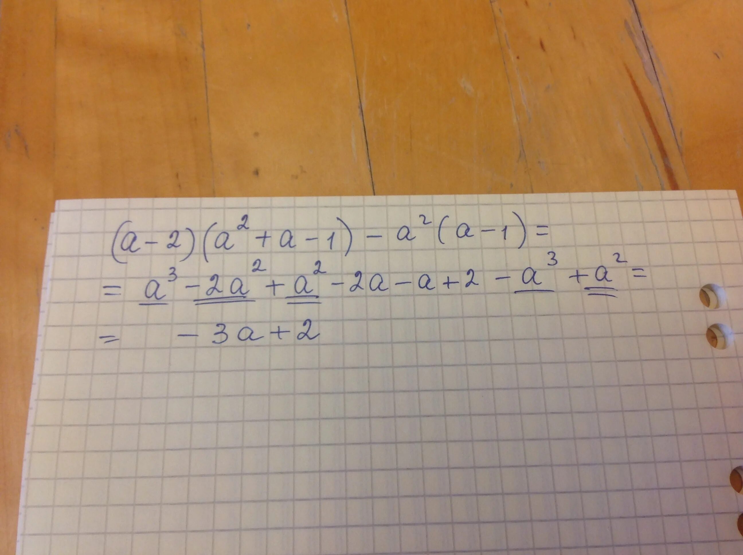
Вычислите 1 6 27