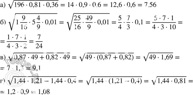
Вычислите 0 5 корень 0 04