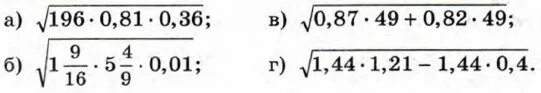
Вычислите 0 36 81