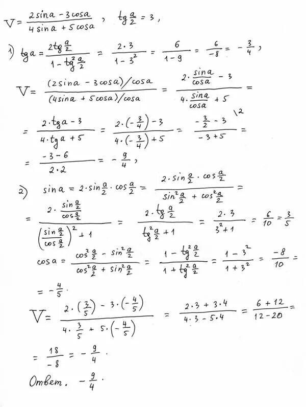
Вычислить sina если cosa 4 5