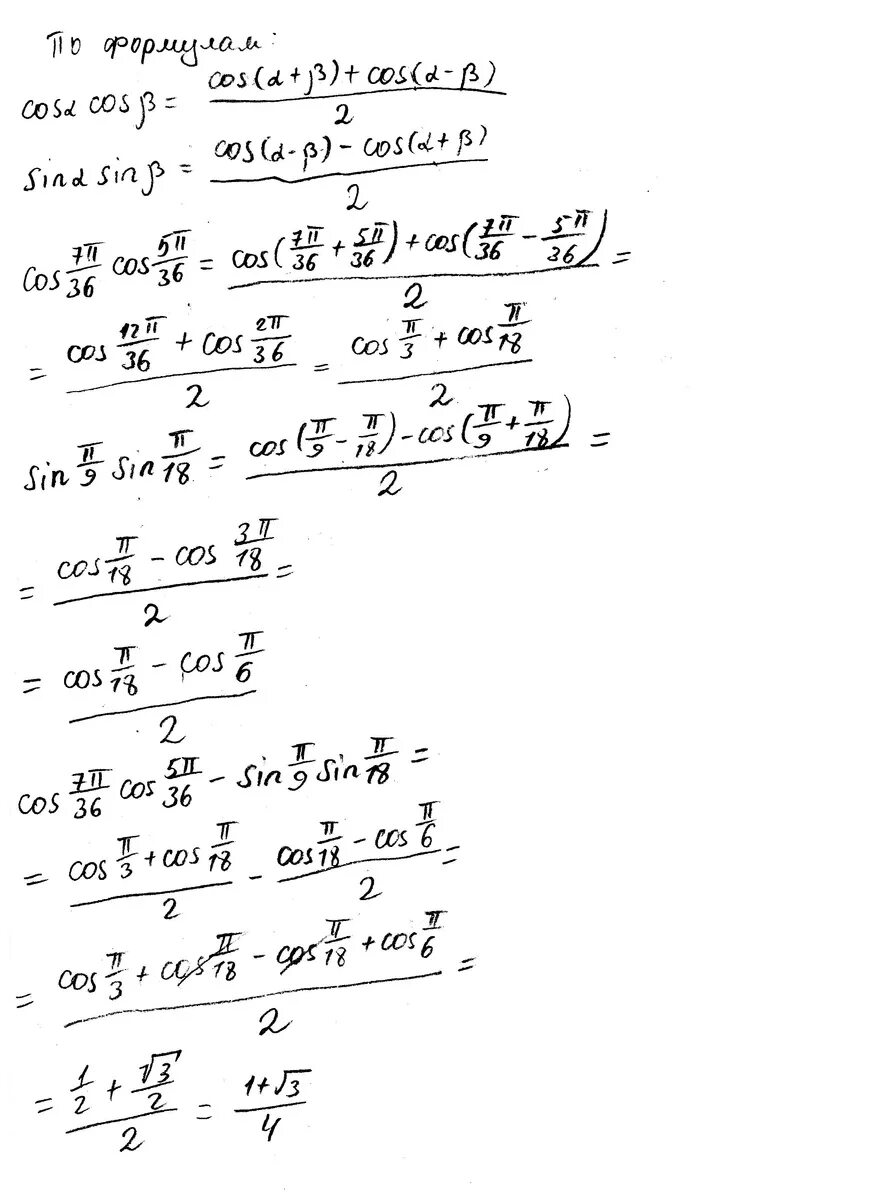
Вычислить sin 7п 2