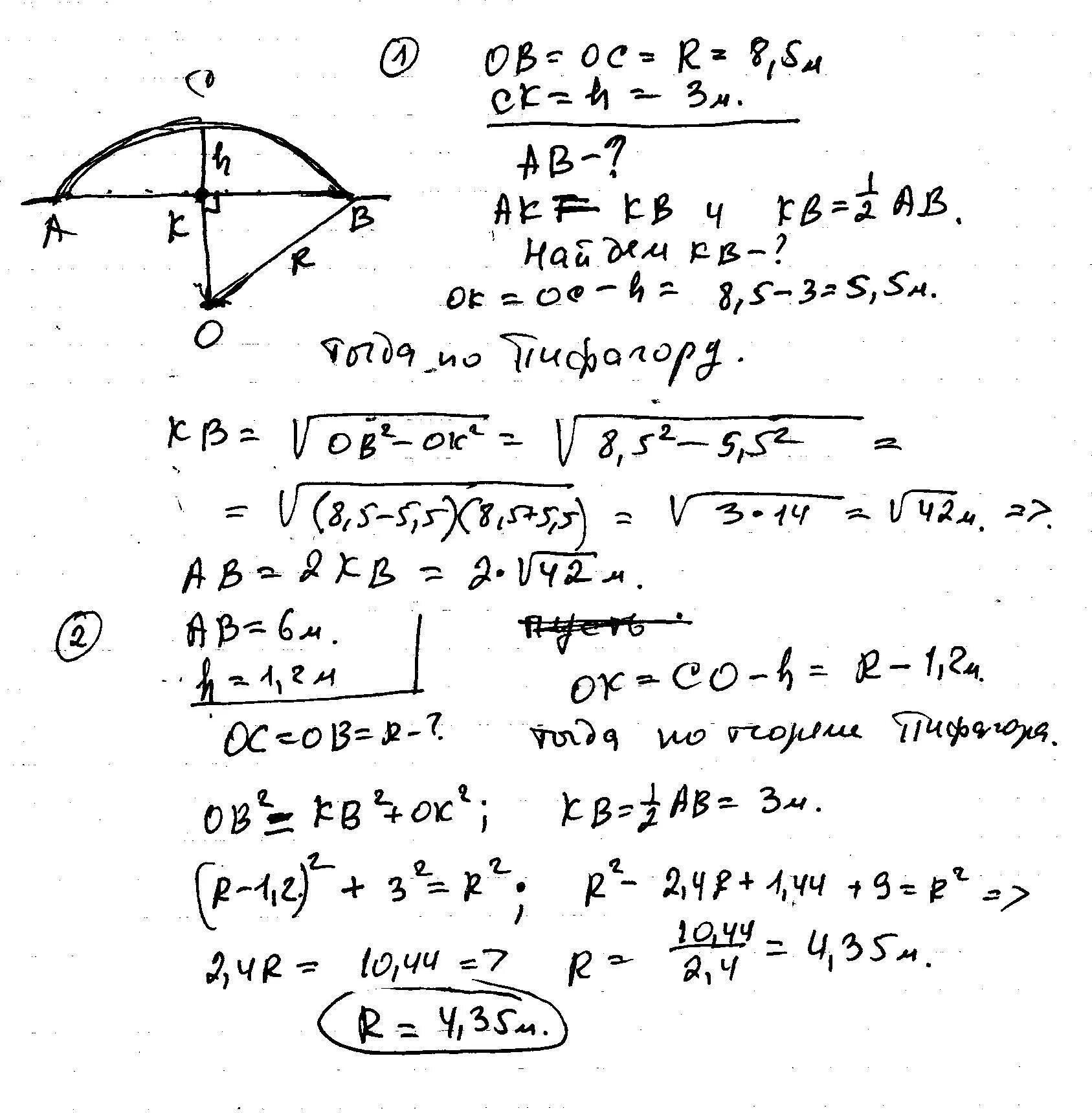
Вычислить радиус дуги