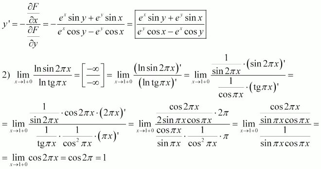
Вычислить производную y sin x 3