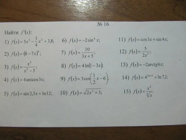
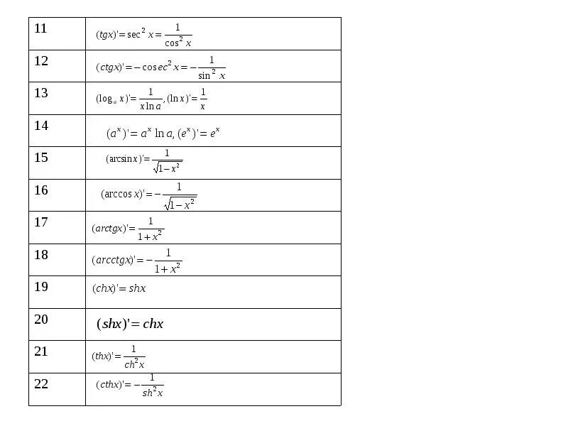
Вычислить производную x 7