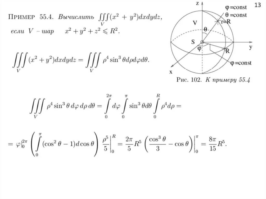
Вычислить объем тройным интегралом