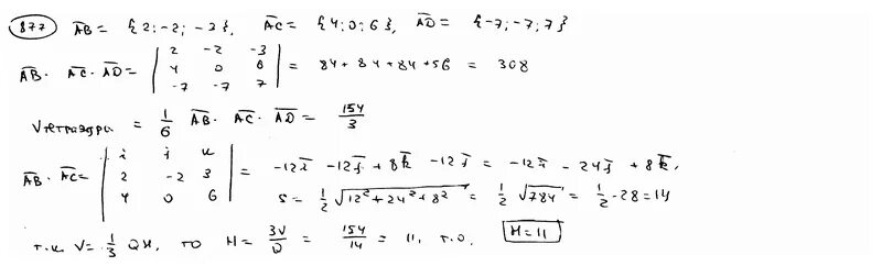
Вычислить объем тетраэдра построенного на векторах