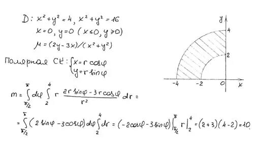
Вычислить массу пластинки