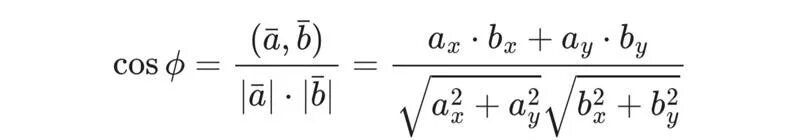
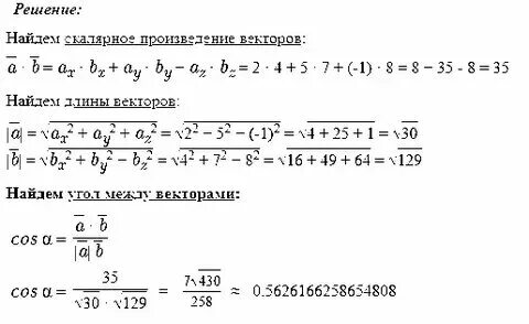
Вычислить косинус между векторами