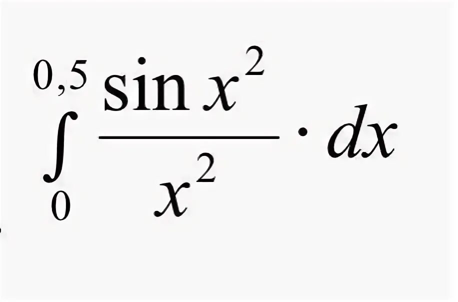
Вычислить интеграл с точностью