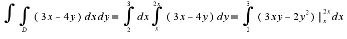
Вычислить интеграл dxdy