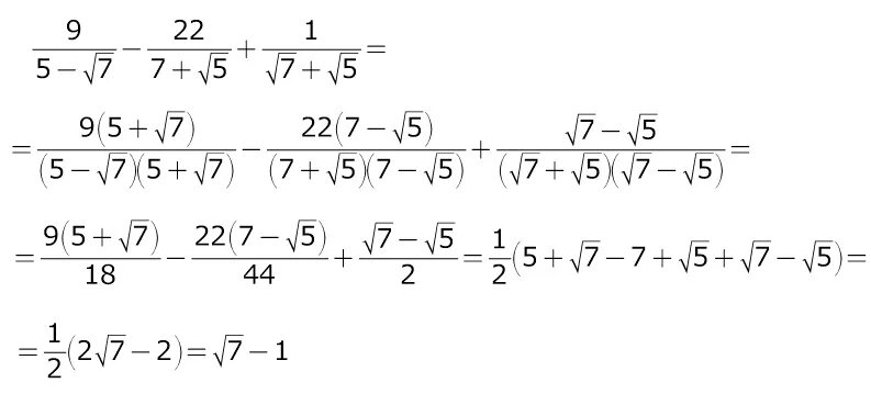
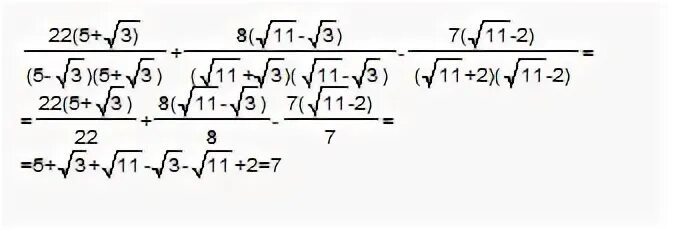
Вычислить frac 1 5 cdot sqrt 225