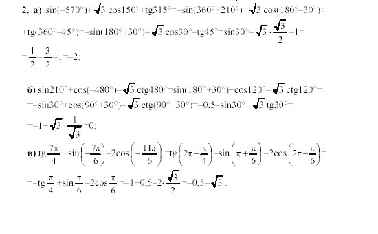
Вычислить cos 765