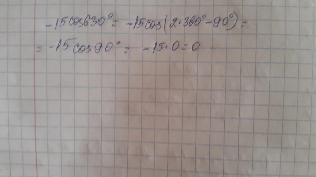
Вычислить cos 630