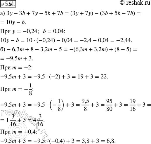
Вычислить 64 2 3