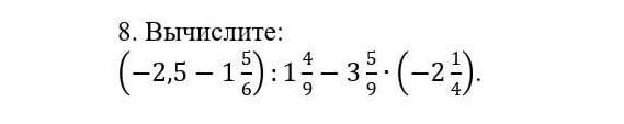
Вычислить 2 161 4