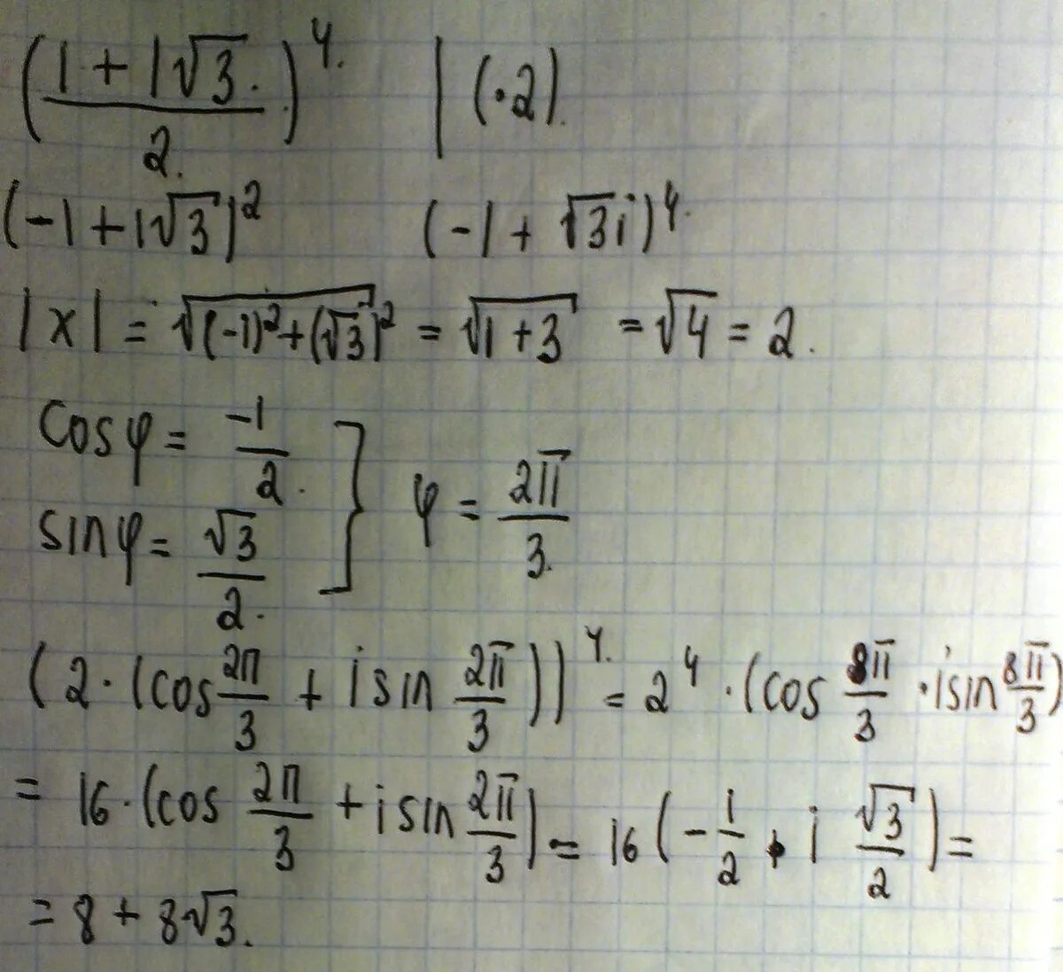
Вычислить 1 2i 1 i