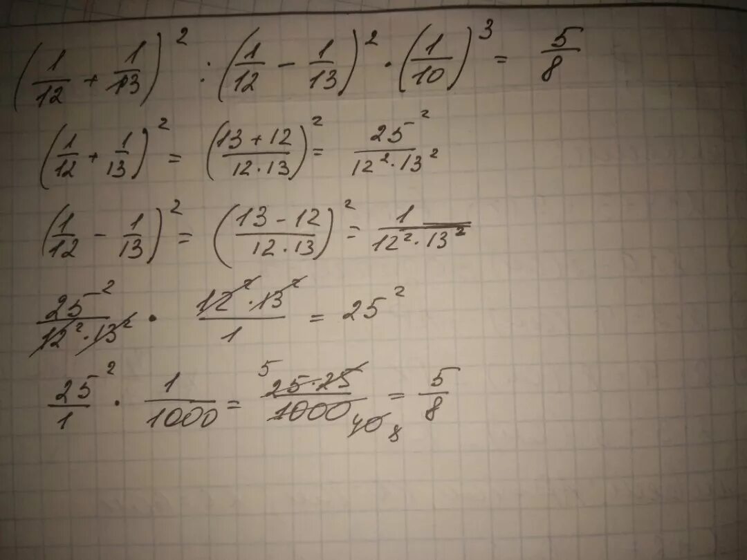
Вычислить 1 1 12