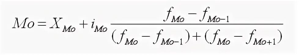
Вычисление моды в статистике