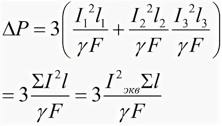
Выбор экономической плотности тока