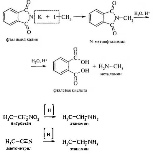
Выберите два утверждения для метиламина