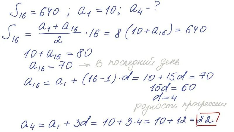
Всего 640 открыток ежедневно 10