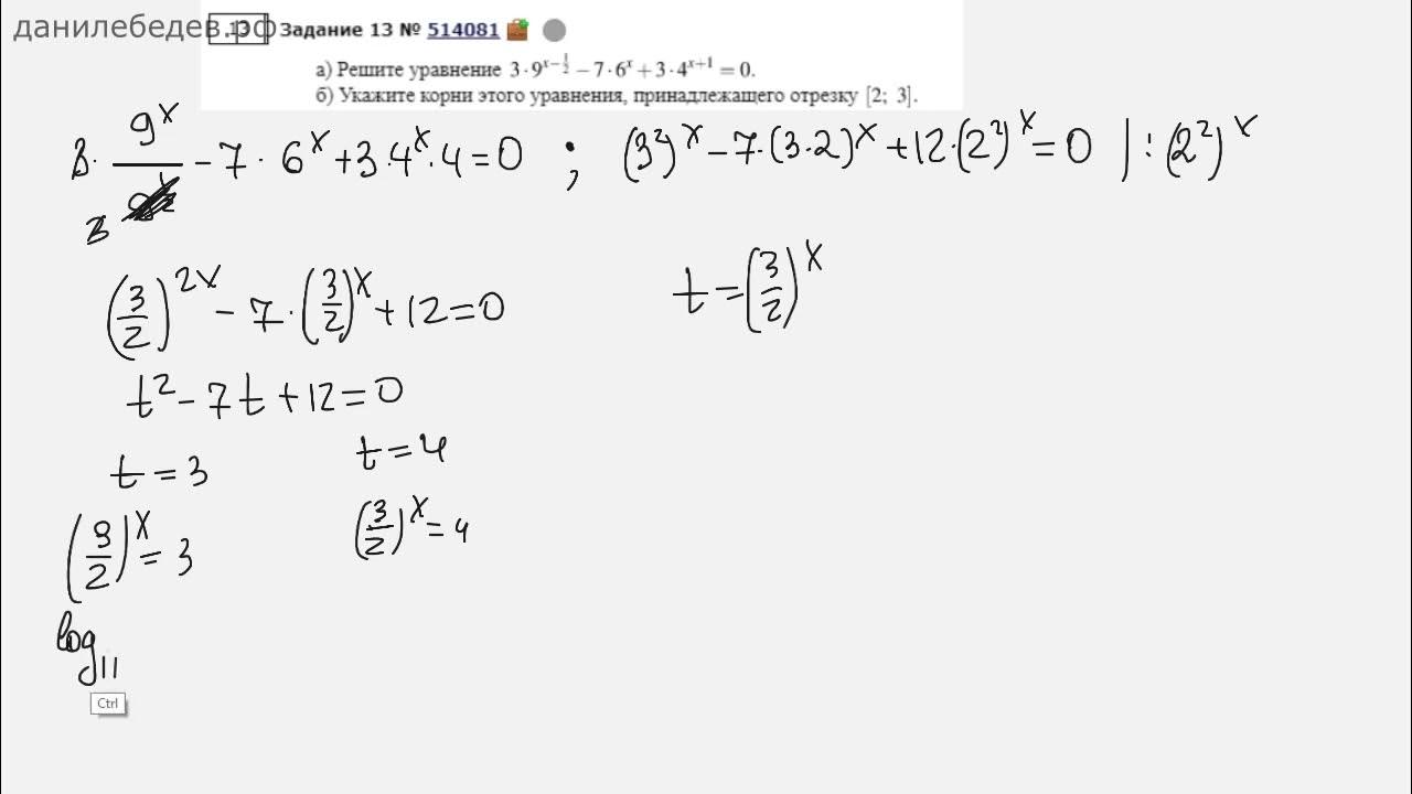
Все типы задания 8 егэ профиль