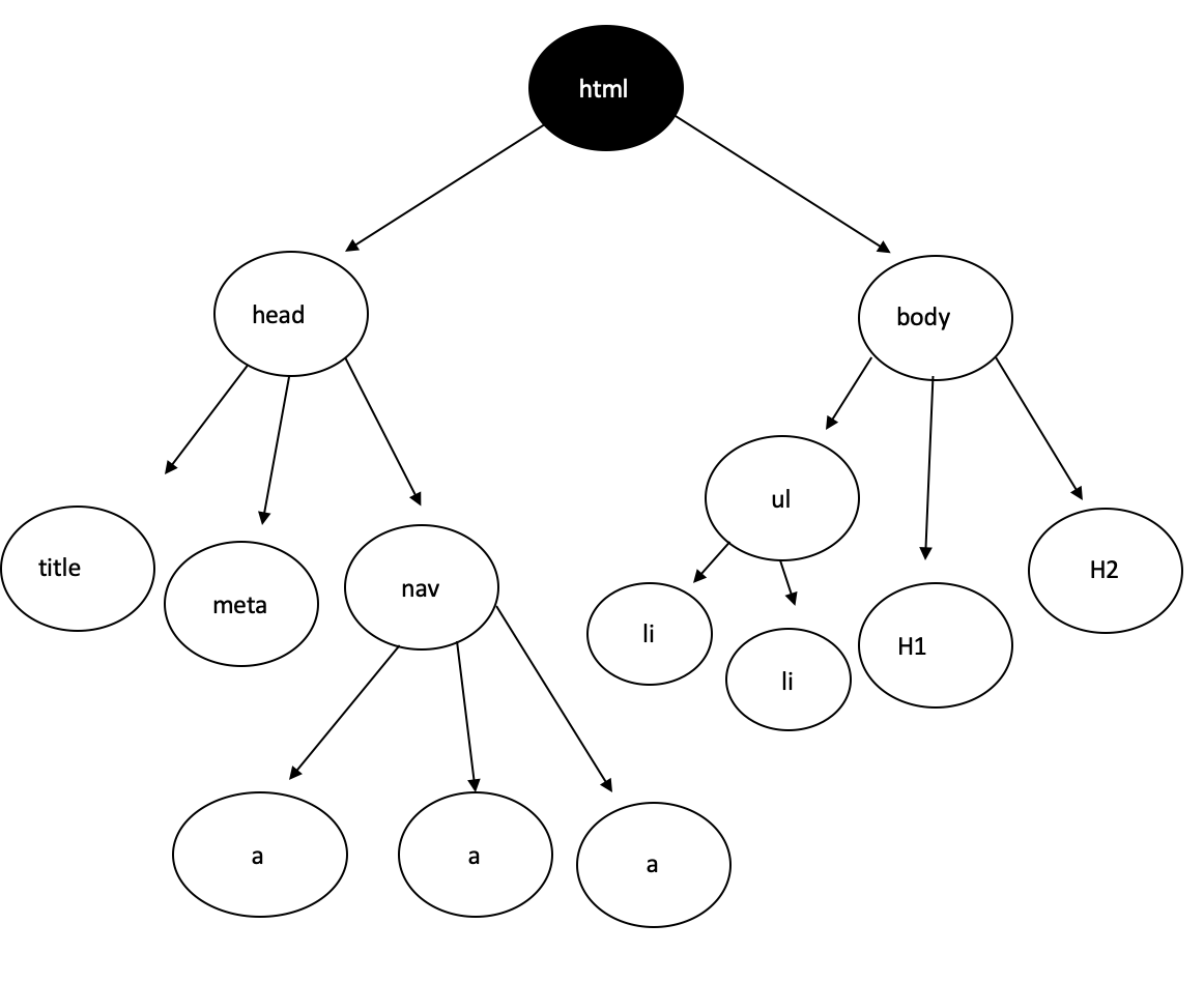
Vs tree