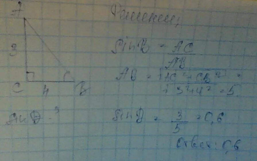
Вс 13 ас 12 найти площадь