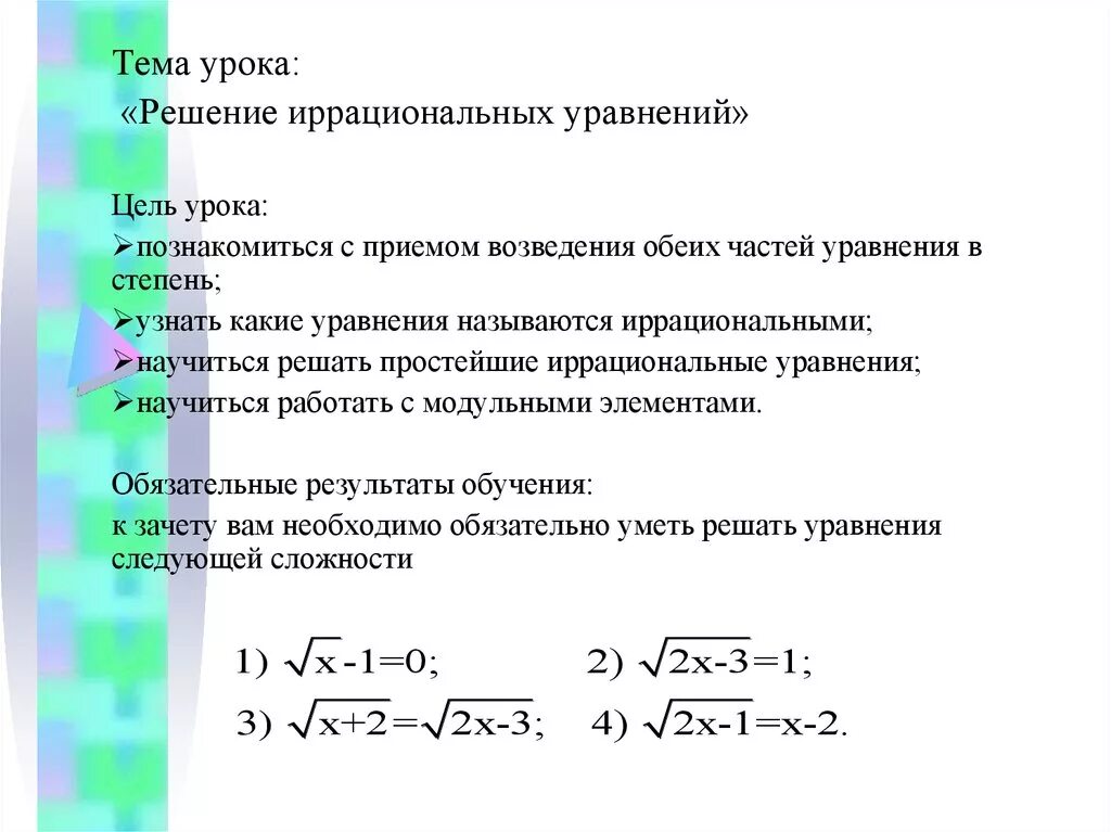
Возведение в иррациональную степень