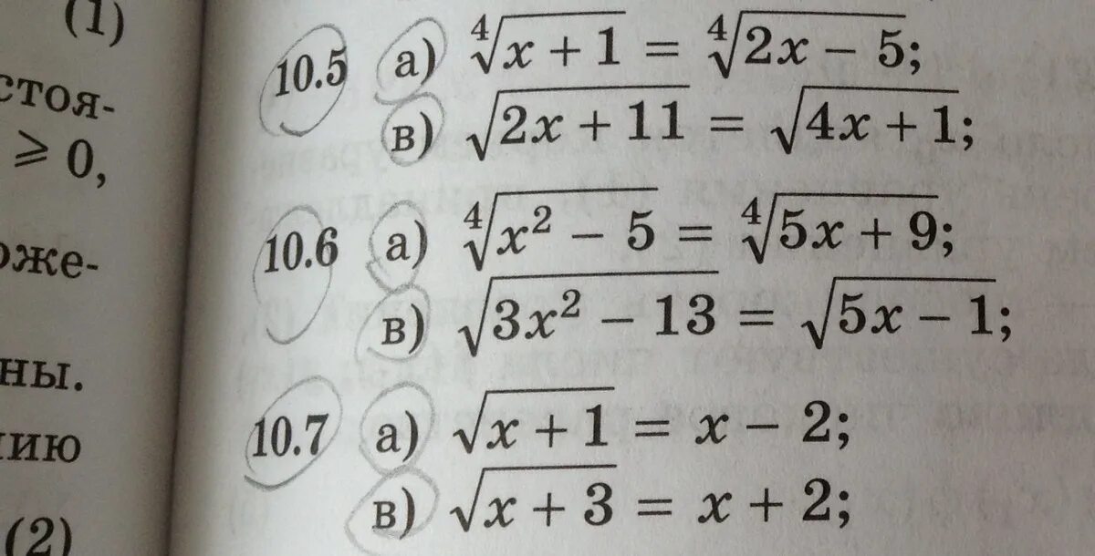
Возведение уравнения в четную степень