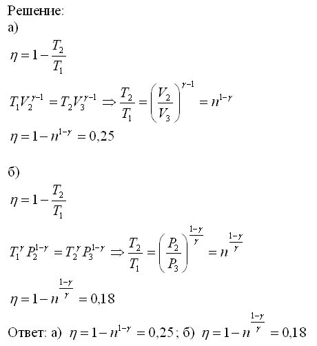
Водород совершает цикл карно найти кпд