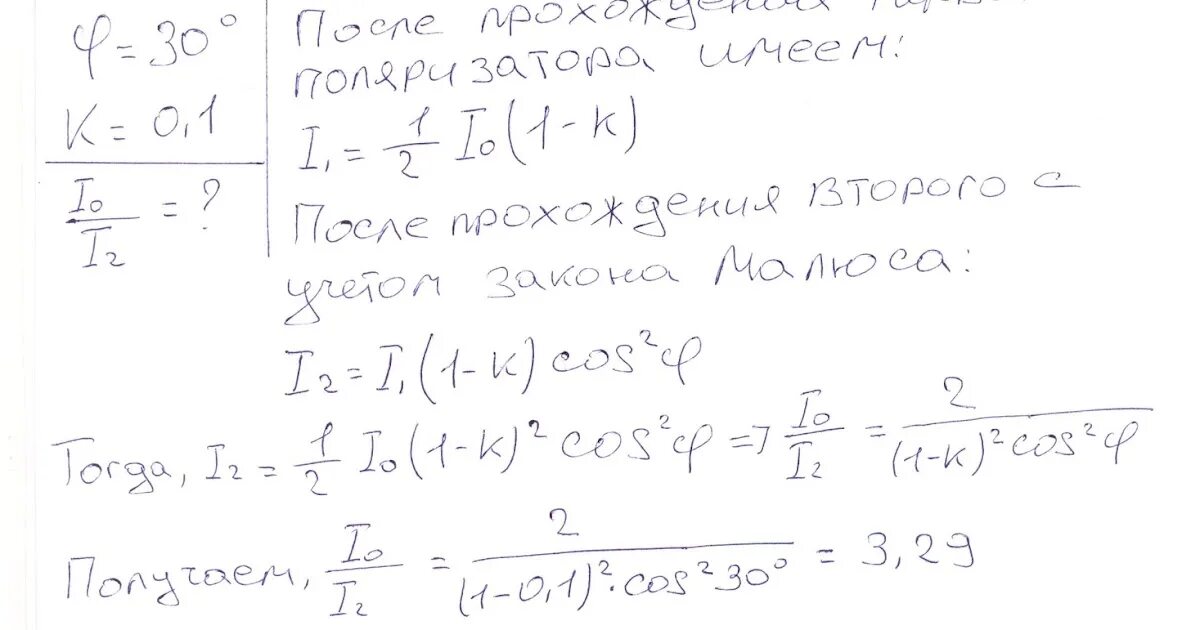
Во сколько раз уменьшится интенсивность естественного