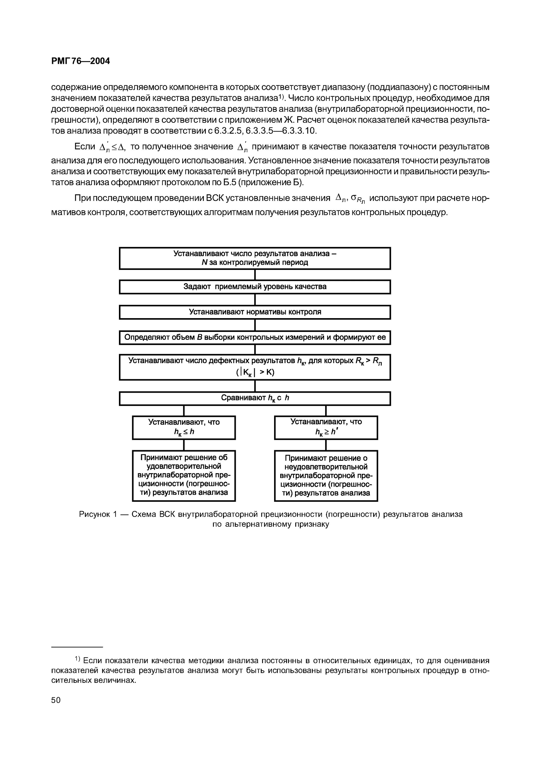
Внутрилабораторный контроль результатов измерений