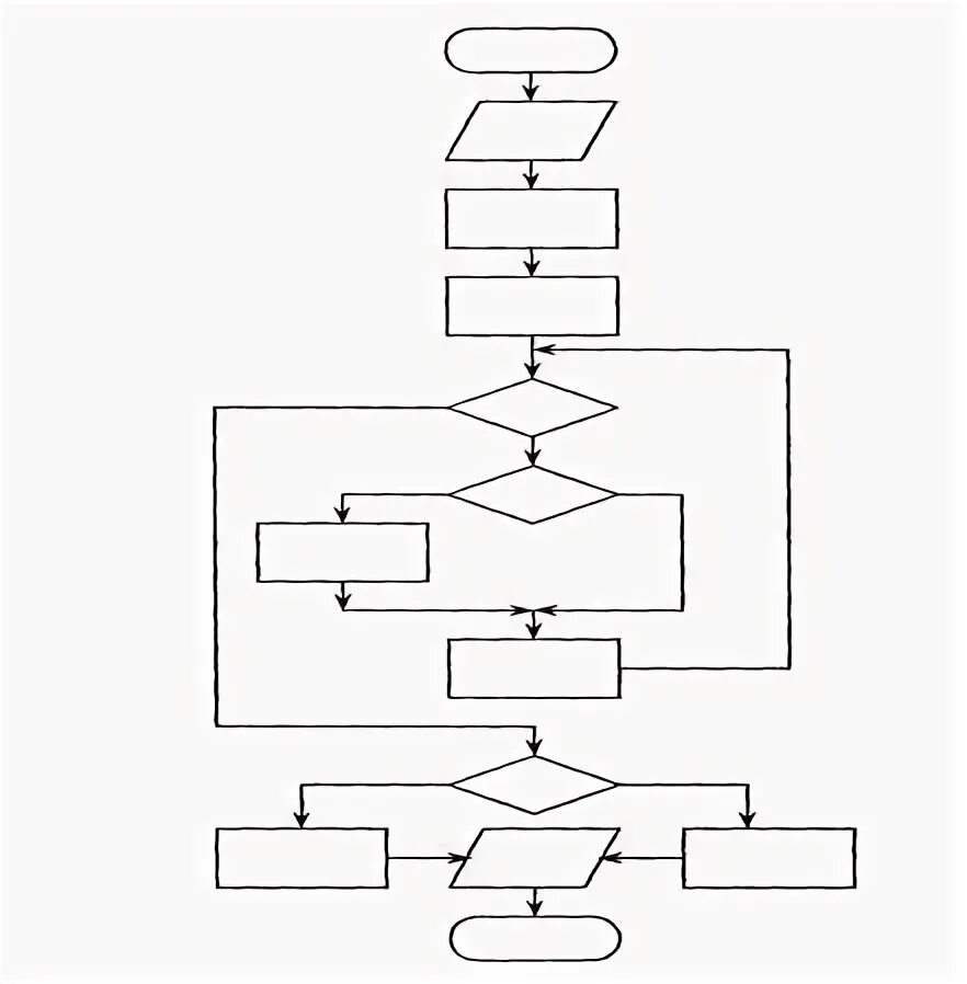
Вложенный алгоритм