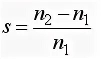
Величина скольжения определяется по формуле